题目内容
如图所示,质点
P以O为圆心、r为半径作匀速圆周运动,周期为了T,当质点P经过图中位置A时,另一质量为m、初速度为零的质点Q受到沿OA方向的拉力F作用从静止开始在光滑水平面上作直线运动,为使P、Q在某时刻速度相同,拉力F必须满足条件________.
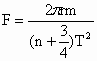
答案:
解析:
解析:
|
|
练习册系列答案
相关题目
题目内容
如图所示,质点
P以O为圆心、r为半径作匀速圆周运动,周期为了T,当质点P经过图中位置A时,另一质量为m、初速度为零的质点Q受到沿OA方向的拉力F作用从静止开始在光滑水平面上作直线运动,为使P、Q在某时刻速度相同,拉力F必须满足条件________.|
|