题目内容
用细线拴一个小球,在光滑水平面上作匀速圆周运动,下列说法中正确的是
A.小球线速度大小一定时,线越长越容易断
B.小球线速度大小一定时,线越短越容易断
C.小球角速度一定时,线越长越容易断
D.小球角速度一定时,线越短越容易断
【答案】
BC
【解析】
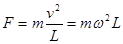
试题分析:根据
可知,小球线速度v大小一定时,线越短L越小,则F越大,绳子越容易断;小球角速度
一定时,线越长L越大,则F越大,绳子越容易断。选项BC正确。
考点:向心力
练习册系列答案
相关题目
下列几种运动过程中物体的机械能守恒的是( )
| A、匀速下落的雨滴 | B、在水中下沉的铁块 | C、“神舟”十号飞船穿过大气层返回地面 | D、用细线拴一个小球,使小球在竖直面内做圆周运动 |
用细线拴一个小球,在光滑水平面上作匀速圆周运动,下列说法正确的是![]()
| A.线越长越容易断 |
| B.线越短越容易断 |
| C.小球线速度一定时,线越短越容易断 |
| D.小球角速度一定时,线越短越容易断 |