题目内容
如图所示,水平地面上有一辆固定有长为L的竖直光滑绝缘管的小车,管的底部有一质量m=0.2g、电荷量q=8×10-5C的小球,小球的直径比管的内径略小.在管口所在水平面MN的下方存在着垂直纸面向里、磁感应强度为B1=15T的匀强磁场,MN面的上方还存在着竖直向上、场强E=25V/m的匀强电场和垂直纸面向外、磁感应强度B2=5T的匀强磁场.现让小车始终保持v=2m/s的速度匀速向右运动,以带电小球刚经过场的边界PQ为计时的起点,测得小球对管侧壁的弹力FN随高度h变化的关系如图所示.g取10m/s2,π取3.14,不计空气阻力.求:(1)小球刚进入磁场B1时的加速度大小a;
(2)绝缘管的长度L;
(3)小球离开管后再次经过水平面MN时距管口的距离△x.
【答案】分析:(1)小球在水平方向上随小车做匀速直线运动,刚进入磁场时,在竖直方向上对小球受力分析,受到竖直向下的重力和竖直向上的电场力以及洛伦兹力,在竖直方向上利用牛顿第二定律可求出小球的加速度.
(2)在小球刚要离开管口时,在水平方向上合力为零,在水平方向上受管侧壁的弹力和洛伦兹力(此力是速度在竖直方向上的分量产生的)结合牛顿运动定律和运动学公式可求出绝缘管的长度.
(3)当小球离开管口进入复合场时,对其受力分析,受到重力、电场力和洛伦兹力,经计算可判断重力和电场力平衡,可知小球会在洛伦兹力的作用下做匀速圆周运动,做出小球的运动轨迹图,利用有边界磁场的运动规律可求出小球和管口在水平方向上的位移之差.
解答:解:(1)以小球为研究对象,竖直方向小球受重力和恒定的洛伦兹力f,故小球在管中竖直方向做匀加速直线运动,加速度设为a,则
即小球刚进入磁场B1时的加速度大小a为2m/s2.
(2)在小球运动到管口时,FN=2.4×10-3N,设v1为小球竖直分速度,由FN=qv1B1,则
m/s
由
得
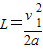
=1m
即绝缘管的长度L为1m.
(3)小球离开管口进入复合场,其中qE=2×10-3N,mg=2×10-3N.故电场力与重力平衡,小球在复合场中做匀速圆周运动.
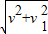
合速度v′=
=
m/s,与MN成45°角,
轨道半径为R,
小球离开管口开始计时,到再次经过
MN所通过的水平距离
0m
对应时间
小车运动距离为
m

即球离开管后再次经过水平面MN时距管口的距离△x为0.43m.
点评:本题考查了带电粒子在复合场中的运动,对复合场的理解和运动过程的分析是解决此类问题的关键.第一问中实际速度斜向右上方;第二位通过弹力求解出竖直分速度,然后根据运动学公式求解;第三位关键画出运动轨迹.
(2)在小球刚要离开管口时,在水平方向上合力为零,在水平方向上受管侧壁的弹力和洛伦兹力(此力是速度在竖直方向上的分量产生的)结合牛顿运动定律和运动学公式可求出绝缘管的长度.
(3)当小球离开管口进入复合场时,对其受力分析,受到重力、电场力和洛伦兹力,经计算可判断重力和电场力平衡,可知小球会在洛伦兹力的作用下做匀速圆周运动,做出小球的运动轨迹图,利用有边界磁场的运动规律可求出小球和管口在水平方向上的位移之差.
解答:解:(1)以小球为研究对象,竖直方向小球受重力和恒定的洛伦兹力f,故小球在管中竖直方向做匀加速直线运动,加速度设为a,则
即小球刚进入磁场B1时的加速度大小a为2m/s2.
(2)在小球运动到管口时,FN=2.4×10-3N,设v1为小球竖直分速度,由FN=qv1B1,则
由
即绝缘管的长度L为1m.
(3)小球离开管口进入复合场,其中qE=2×10-3N,mg=2×10-3N.故电场力与重力平衡,小球在复合场中做匀速圆周运动.
合速度v′=
轨道半径为R,
小球离开管口开始计时,到再次经过
MN所通过的水平距离
对应时间
小车运动距离为
即球离开管后再次经过水平面MN时距管口的距离△x为0.43m.
点评:本题考查了带电粒子在复合场中的运动,对复合场的理解和运动过程的分析是解决此类问题的关键.第一问中实际速度斜向右上方;第二位通过弹力求解出竖直分速度,然后根据运动学公式求解;第三位关键画出运动轨迹.
练习册系列答案
相关题目