题目内容

侦察卫星在通过地球两极上空的圆轨道上运行,它的运行轨道距地面的高度为h,要使卫星在一天的时间内将地面上赤道各处在日照条件下的情况全部拍摄下来,卫星在赤道上空时,卫星上摄像机至少应拍摄地面上赤道圆周的弧长是多少?设地球半径R,地面处的重力加速度为g,地球的自转周期为T.

答案:略
解析:

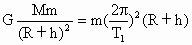
  侦察卫星在地球目转的一个周期的时间内,达到光照的赤道上空的次数为地球的自转周期除以卫星的周期,它每次拍摄赤道的弧长应为赤道的周长除以拍摄的次数.侦察卫星绕地球做圆周运动的周期设为,根据卫星做圆周运动的向心力由万有引力提供,则

①,地面处的重力加速度为g,则②,由①②两式得侦察卫星的周期,地球自转一个周期的时间内卫星拍摄的次数为,每次拍摄长度

  这是一道有关实际问题的题.因卫星经过两极上空,所以卫星在一个周期内两次经过赤道上空,一次有日照,一次没有日照,由题设条件可知,卫星在一个周期拍一次象,那么在一天的时间内拍摄的次数为,,每次拍摄赤道弧长应为


练习册系列答案
相关题目

违法和不良信息举报电话:027-86699610 举报邮箱:58377363@163.com

精英家教网