ÌâÄ¿ÄÚÈÝ

ÓÐÈËÉè¼ÆÁËÒ»ÖÖ²âÎÂ×°Öã¬Æä½á¹¹ÈçÏÂͼËùʾ£¬²£Á§ÅÝAÄÚ·â±ÕÓÐÒ»¶¨Á¿ÆøÌ壬ÓëAÏàÁ¬µÄ³¤Ö±²£Á§¹Ü²åÔÚË®Òø²ÛÖУ®ÈôB¹ÜÄÚµÄË®ÒøÃæÓëË®Òø²ÛÖÐË®ÒøÃæµÄ¸ß¶È²îx¼´¿É·´Ó³ÅÝÄÚÆøÌåµÄζȼ´»·¾³Î¶ȣ¬²¢¿ÉÒÔÓÉB¹ÜÉϵĿ̶ÈÖ±½Ó¶Á³öµ±Ê±µÄ»·¾³Î¶ȣ®ÉèB¹ÜµÄÈÝ»ýÓëAÅݵÄÈÝ»ýÏà±È¿ÉÒÔÂÔÈ¥²»¼Æ£®

(1)ÔÚ±ê×¼´óÆøÑ¹(¼´76cmHg)϶ÔB¹Ü½øÐÐζȿ̶ȣ®ÒÑÖªµ±Î¶ȣ½27¡æÊ±£¬B¹ÜÄÚË®ÒøÃæ¸ß³ö¹ÜÍâË®ÒøÃæ£½16cm¸ß¶È£¬´Ë¸ß¶È¼´±êΪ27¡æµÄ¿Ì¶ÈÏߣ®ÄÇô£¬t£½0¡æµÄ¿Ì¶ÈÏßÓ¦±êÔÚxΪ¶àÉÙcm´¦£¿

(2)Èô²ÛÄÚË®ÒøÃæÒÔϲ£Á§¹ÜÉÐÓÐh£½14cm³¤£¬Ôò¸Ã²âÎÂ×°ÖÃËùÄܲâÁ¿µÄ×î¸ßζÈÊǶàÉÙ£¿

(3)ÈôÍâ½ç´óÆøÑ¹ÒѱäΪÏ൱ÓÚ75cmHgµÄѹǿ£¬ÀûÓøòâÎÂ×°ÖòâÁ¿Î¶ÈʱËùµÃ¶ÁÊýÈÔΪ27¡æ£¬Ôò´ËʱµÄʵ¼ÊζÈΪ¶à¸ß£¿

´ð°¸£º
½âÎö£º

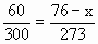
    (1)ÒÔ²£Á§ÅÝÄڵķâ±ÕÆøÌåΪÑо¿¶ÔÏ󣬳õ̬£º£­£½76£­16£½60(cmHg)£¬£»Ä©Ì¬£º£­x£½(76£­x)cmHg£¬

¡¡¡¡

¡¡¡¡£¬ËùÒÔx£½21.4cm£®

¡¡¡¡¼´t£½0¡æµÄ¿Ì¶ÈÏßÓ¦±êÔÚx£½21.4cm´¦£®

¡¡¡¡(2)µ±¹ÜÄÚË®ÒøÖùÃæ±»ÆøÌåѹÖÁ¹Ü¿Úʱ£¬²£Á§ÅÝÄÚÆøÌåζÈ×î¸ß£®´Ëʱ£¬ÆøÌåѹǿΪ£«h£½76£«14£½90cmHg£¬ÆøÌåζÈΪ£½273£«£®

¡¡¡¡ÓɲéÀí¶¨ÂÉ£º´úÈëÊý¾ÝµÃ

£½177¡æ£®

¡¡¡¡(3)µ±Íâ½ç´óÆøÑ¹Ç¿±äΪ£½75cmHgʱ£¬±êÏß27¡æ¶ÔÓ¦B¹ÜÄÚÍâË®ÒøÖùÃæ¸ß¶È²îÈÔΪ£½16cm£®´Ëʱ²£Á§ÅÝÄÚÆøÌåѹǿΪ£­£½59cmHg£®Éè´Ëʱ»·¾³µÄʵ¼ÊζÈΪ

¡¡¡¡ÓɲéÀí¶¨ÂÉ´úÈëÊý¾ÝµÃ

£½22¡æ£®


Ìáʾ£º

    ÓÉÓÚ±¾ÌâÖÐB¹ÜµÄÈÝ»ýÓëAÅݵÄÈÝ»ýÏà±È¿ÉÒÔÂÔÈ¥²»¼Æ£¬ËùÒÔ£¬ÔÚB¹ÜÄÚË®ÒøÖù¸ß¶È·¢Éú±ä»¯Ê±£¬¿É°´ÀíÏëÆøÌåµÄµÈÈݹý³ÌÀ´´¦Àí£¬¼´ÅÝÄÚÆøÌå·¢Éú״̬±ä»¯Ê±×ñÑ­²éÀí¶¨ÂÉ£®

    ±¾Ìâͨ¹ý½üËÆ´¦ÀíµÄ·½·¨£¬½«¸´ÔÓµÄ״̬±ä»¯¹ý³Ìת»¯Îª×ñ´Ó²éÀí¶¨ÂɵĵÈÈݱ仯¹ý³Ì£¬Ê¹ÎÊÌâµÃÒÔ¼ò»¯£®


Á·Ï°²áϵÁдð°¸
Ïà¹ØÌâÄ¿

Î¥·¨ºÍ²»Á¼ÐÅÏ¢¾Ù±¨µç»°£º027-86699610 ¾Ù±¨ÓÊÏ䣺58377363@163.com

¾«Ó¢¼Ò½ÌÍø