题目内容
(l)电场强度的大小.
(2)粒子到达P2时速度的大小和方向.
(3)磁感应强度的大小.
【答案】分析:(1)粒子在电场中做类平抛运动,由牛顿第二定律及运动学公式即可求出电场强度;
(2)粒子到达P2时速度方向决定粒子在磁场中做匀速圆周运动的轨迹,由x方向的速度分量和沿y方向的速度分量可得方向角,根据运动学公式即可求解;
(3)粒子在洛仑兹力作用下做匀速圆周运动的半径根据几何关系可以求出,再由牛顿第二定律即可求出磁感应强度.
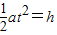
解答:解:(1)粒子在电场中做类平抛运动,设粒子从P1到P2的时间为t,电场强度的大小为E,粒子在电场中的加速度为a,
由牛顿第二定律及运动学公式有:
vt=2h ①
qE=ma ②
③
联立①②③式可得:
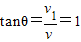
(2)粒子到达P2时速度方向决定粒子在磁场中做匀速圆周运动的轨迹,由x方向的速度分量和沿y方向的速度分量可得方向角(与x轴的夹角)为θ,
v12=2ah

θ=45°
所以粒子是垂直P2 P3的连线进入磁场的,P2 P3是粒子圆周运动轨迹的直径,速度的大小为
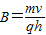
(3)设磁场的磁感应强度为B,在洛仑兹力作用下粒子做匀速圆周运动的半径根据几何关系可知是r=
,
由牛顿第二定律
所以
如图是粒子在电场、磁场中运动的轨迹图
答:(l)电场强度的大小为
.
(2)粒子到达P2时速度的大小为
,与x轴成45°夹角;
(3)磁感应强度的大小为
.
点评:本题主要考查了带电粒子在混合场中运动的问题,要求同学们能正确分析粒子的受力情况,再通过受力情况分析粒子的运动情况,熟练掌握圆周运动及平抛运动的基本公式,难度适中.
(2)粒子到达P2时速度方向决定粒子在磁场中做匀速圆周运动的轨迹,由x方向的速度分量和沿y方向的速度分量可得方向角,根据运动学公式即可求解;
(3)粒子在洛仑兹力作用下做匀速圆周运动的半径根据几何关系可以求出,再由牛顿第二定律即可求出磁感应强度.
解答:解:(1)粒子在电场中做类平抛运动,设粒子从P1到P2的时间为t,电场强度的大小为E,粒子在电场中的加速度为a,
由牛顿第二定律及运动学公式有:
vt=2h ①
qE=ma ②
联立①②③式可得:
(2)粒子到达P2时速度方向决定粒子在磁场中做匀速圆周运动的轨迹,由x方向的速度分量和沿y方向的速度分量可得方向角(与x轴的夹角)为θ,
v12=2ah
θ=45°
所以粒子是垂直P2 P3的连线进入磁场的,P2 P3是粒子圆周运动轨迹的直径,速度的大小为
(3)设磁场的磁感应强度为B,在洛仑兹力作用下粒子做匀速圆周运动的半径根据几何关系可知是r=
由牛顿第二定律
所以
如图是粒子在电场、磁场中运动的轨迹图
答:(l)电场强度的大小为
(2)粒子到达P2时速度的大小为
(3)磁感应强度的大小为
点评:本题主要考查了带电粒子在混合场中运动的问题,要求同学们能正确分析粒子的受力情况,再通过受力情况分析粒子的运动情况,熟练掌握圆周运动及平抛运动的基本公式,难度适中.
练习册系列答案
相关题目