题目内容
质量为2kg的质点在x-y平面上做曲线运动,在x方向的速度图象和y方向的位移图象如图所示,下列说法正确的是( )A.质点的初速度为3m/s
B.质点作匀变速运动
C.质点所受的合外力为6N
D.质点初速度的方向与合外力方向垂直
【答案】分析:根据速度图象判断物体在x轴方向做匀加速直线运动,y轴做匀速直线运动.根据位移图象的斜率求出y轴方向的速度,再将两个方向的合成,求出初速度.质点的合力一定,做匀变速运动.y轴的合力为零.根据斜率求出x轴方向的合力,即为质点的合力.合力沿x轴方向,而初速度方向既不在x轴,也不在y轴方向,质点初速度的方向与合外力方向不垂直.
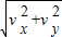
解答:解:A、x轴方向初速度为vx=3m/s,y轴方向初速度vy=-4m/s,质点的初速度v=
=5m/s.故A错误.
B、x轴方向的合力恒定不变,y轴做匀速直线运动,合力为零,则质点的合力恒定不变.故B正确.
C、x轴方向的加速度a=1.5m/s2,质点的合力F合=ma=3N.故C错误.
D、合力沿x轴方向,而初速度方向既不在x轴,也不在y轴方向,质点初速度的方向与合外力方向不垂直.故D错误.
故选B
点评:本题考查运用运动合成与分解的方法处理实际问题的能力,类似平抛运动.中等难度.
解答:解:A、x轴方向初速度为vx=3m/s,y轴方向初速度vy=-4m/s,质点的初速度v=
B、x轴方向的合力恒定不变,y轴做匀速直线运动,合力为零,则质点的合力恒定不变.故B正确.
C、x轴方向的加速度a=1.5m/s2,质点的合力F合=ma=3N.故C错误.
D、合力沿x轴方向,而初速度方向既不在x轴,也不在y轴方向,质点初速度的方向与合外力方向不垂直.故D错误.
故选B
点评:本题考查运用运动合成与分解的方法处理实际问题的能力,类似平抛运动.中等难度.
练习册系列答案
相关题目