题目内容

如图是“测电源的电动势和内阻”的实验电路,器材如下:

待测电源

量程3V的理想电压表V

量程0.6A的电流表A(具有一定内阻)

定值电阻R0(R0=1.50Ω)

滑动变阻器R1(0 —10Ω)

滑动变阻器R2(0 — 200Ω)

开关S、导线若干

1.为方便实验调节且能较准确地进行测量,滑动变阻器应选用        (填R1或 R2)。

2.用笔画线代替导线在实物图中完成连线。

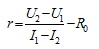
3.实验中,改变滑动变阻器的阻值,测出当电流表读数为I1时,电压表读数为U1;当电流表读数为I2时,电压表读数为U2.则待测电源内阻的表达式r =             .(用I1、I2、U1、U2和R0表示)

 

【答案】

 

1.R1

2.如图所示

3.

【解析】略

 

练习册系列答案
相关题目
(1)用游标为20分度的卡尺测量其长度如图1,由图1可知其长度为
50.15
50.15
mm;用螺旋测微器测量其直径如图,由图1可知其直径为
4.700
4.700
mm;

(2)在“验证机械能守恒定律”的实验中,打点计时器所用电源频率为50HZ,当地重力加速度的值为9.80m/s2,测得所用重物的质量为1.00kg.甲、乙、丙三学生分别用同一装置打出三条纸带,量出各纸带上第1、2两点间的距离分别为0.12cm,0.19cm和0.25cm,可见操作上有错误的是学生
,错误操作
是先放开纸带后接通电源
是先放开纸带后接通电源

若按实验要求正确地选出纸带进行测量,量得连续三点A,B,C到第一个点的距离如图2所示(相邻计数点时间间隔为0.02s),从起点O到打下计数点B的过程中重力势能减少量是△EP=
0.94
0.94
,此过程中物体动能的增加量是△EK
0.84
0.84
(取g=9.8m/s2);
(3)如图3所示气垫是常用的一种实验仪器,它是利用气泵使带孔的导轨与滑块之间形成气垫,使滑块悬浮在轨道上,滑块在轨道上的运动可视为没有摩擦.我们可以用带竖直挡板C和D的气垫轨道以及滑块A和B来验证动量守恒定律,实验装置如图所示(弹簧的长度忽略不计),采用的实验步骤如下:
a.调整气垫轨道,使导轨处于水平;
b.在A和B间放入一个被压缩的轻弹簧,用电动卡销锁定,静止放置在气垫导轨上;
c.按下电钮放开卡销,同时使分别记录滑块A、B运动时间的计数器开始工作,当A、B滑块分别碰撞C、D挡板时停止计时,记下滑块A、B分别到达挡板C、D的运动时间t1和t2
d.用刻度尺测出滑块A的左端至C挡板的距离L1、滑块B的右端到D挡板的距离L2
①试验中还应测量的物理量是
滑块A、B的质量mA、mB
滑块A、B的质量mA、mB

②利用上述过程测量的实验数据,验证动量守恒定律的表达式是
mA
L1
t1
=mB
L2
t2
mA
L1
t1
=mB
L2
t2

③利用上述实验数据导出的被压缩弹簧的弹性势能的表达式是
1
2
mA(
L1
t1
)2+
1
2
mB(
L2
t2
)2
1
2
mA(
L1
t1
)2+
1
2
mB(
L2
t2
)2
(1)理想变压器初、次级匝数比为55:9,初级接在u=311sinl00πtV的交流电源上,则与次级并联的电压表的读数为
 
V,当次级接上60Ω的电灯一盏时,变压器输入功率为
 
W.
(2)气垫导轨是常用的一种实验仪器,它是利用气泵使带孔的导轨与滑块之间形成气垫,使滑块悬浮在导轨上,滑块在导轨上的运动可视为没有摩擦.我们可以用带竖直挡板C和D的气垫导轨以及滑块A和B来验证动量守恒定律,实验装置如图所示(弹簧的长度忽略不计),采用的实验步骤如下:
精英家教网
A.用天平分别测出滑块A、B的质量mA、mB
B.调整气垫导轨,使导轨处于水平;
C.在A和B间放入一个被压缩的轻弹簧,用电动卡销锁定,静止地放置在气垫导轨上;
D.用刻度尺测出A的左端至C板的距离L1
E.按下电钮放开卡销,同时使分别记录滑块A、B运动时间的计时器开始工作.当A、B滑块分别碰撞C、D挡板时停止计时,记下A、B分别到达C、D的运动时间t1和t2,本实验中还应测量的物理量是
 
,利用上述测量的实验数据,验证动量守恒定律的表达式是
 

(3)在“测定金属的电阻率的实验中,用螺旋测微器测量金属丝直径时的刻度位置如图所示,用米尺测量金属丝的长度l=0.810m,金属丝的电阻大约为4Ω.先用伏安法测出金属丝的电阻,然后根据电阻定律计算出该金属材料的电阻率.精英家教网
①从图中读出金属丝的直径为
 

②在用伏安法测定金属丝的电阻时,除被测的电阻丝外,还有如下供选择的实验器材:
直流电源:电动势约4.5V,内阻很小;
电流表A1:量程0-0.6A,内阻0.125Ω:
电流表A2:量程0~3.0A,内阻0.025Ω;
电压表V:量程0~3V,内阻3kΩ;
滑动变阻器R1:最大阻值10Ω
滑动变阻器R2:最大阻值50Ω;开关、导线等.
在可供选择的器材中,应该选用的电流表是
 
,应该选用的滑动变阻器是
 

③根据所选的器材,画出实验电路图.
④若根据伏安法测出电阻丝的电阻为Rx=4.1Ω,则这种金属材料的电阻率为
 
Ω?m.(保留二位有效数字)
(2010?天津模拟)(1)某同学做“双缝干涉测光的波长”实验时,相邻两条亮纹间的距离用带有螺旋测微器的测量头测出,如图所示.测量头的分划板中心刻线与某亮纹中心对齐时螺旋测微器的示数为
4.946
4.946
mm.
(2)气垫导轨是常用的一种实验仪器.它是利用气泵使带孔的导轨与滑块之间形成气垫,使滑块悬浮在导轨上,滑块在导轨上的运动可视为没有摩擦.我们可以用带竖直挡板C和D的气垫导轨以及滑块A和B来验证动量守恒定律,实验装置如图所示(弹簧的长度忽略不计),采用的实验步骤如下:
a.用天平分别测出滑块A、B的质量mA、mB
b.调整气垫导轨,使导轨处于水平
C.在A和B间放入一个被压缩的轻弹簧,用电动卡销锁定,静止放置在气垫导轨上
d.用刻度尺测出A的左端至C板的距离L1
e.按下电钮放开卡销,同时使分别记录滑块A、B运动时间的计时器开始工作.当A、B滑块分别碰撞C、D挡板时停止计时,记下A、B分别到达C、D的运动时间t1和t2
①实验中还应测量的物理量是
B的右端至D板的距离L2
B的右端至D板的距离L2

②利用上述测量的实验数据,验证动量守恒定律的表达式是
mA
L1
t1
-mB
L2
t2
=0
mA
L1
t1
-mB
L2
t2
=0

③利用上述实验数据还可以求出被压缩弹簧的弹性势能的大小,请写出弹性势能表达式为
EP=
1
2
mA
L1
t1
2+
1
2
mB
L2
t2
2
EP=
1
2
mA
L1
t1
2+
1
2
mB
L2
t2
2

(3)实验桌上有下列实验仪器:
A.待测电源(电动势约3V,内阻约7Ω):
B.直流电流表(量程0~0.6~3A,0.6A档的内阻约0.5Ω,3A档的内阻约0.1Ω:)
C.直流电压表(量程0~3~15V,3V档内阻约5kΩ,15V档内阻约25kΩ):
D.滑动变阻器(阻值范围为0~15Ω,允许最大电流为1A):
E.滑动变阻器(阻值范围为0~1000Ω,允许最大电流为0.2A):
F.开关、导线若干:
请解答下列问题:
①利用给出的器材测量电源的电动势和内阻,要求测量有尽可能高的精度且便于调节,应选择的滑动变阻器是
D
D
(填代号),应选择的电流表量程是
0~0.6A
0~0.6A
(填量程),应选择的电压表量程是
0~3V
0~3V
(填量程).
②根据某同学测得的数据得知电动势E=3V,内阻r=6Ω,某小灯泡的伏安特性曲线如图所示,将此小灯泡与上述电源组成闭合回路,此时小灯泡的实际功率为
0.375W
0.375W
W.(保留3位有效数字)

 (

   (1)某同学做“双缝干涉测光的波长”实验时,相邻两条亮纹间的距离用带有螺旋测微器的测量头测出,如图所示。测量头的分划板中心刻线与某亮纹中心对齐时螺旋测微器的示数为         mm。

   (2)气垫导轨是常用的一种实验仪器。它是利用气泵使带孔的导轨与滑块之间形成气垫,使滑块悬浮在导轨上,滑块在导轨上的运动可视为没有摩擦。我们可以用带竖直挡板C和D的气垫导轨以及滑块A和B来验证动量守恒定律,实验装置如图所示(弹簧的长度忽略不计),

采用的实验步骤如下:

a.用天平分别测出滑块A、B的质量mA、mB

b.调整气垫导轨,使导轨处于水平

    C.在A和B间放入一个被压缩的轻弹簧,用电动卡销锁定,静止放置在气垫导轨上

d.用刻度尺测出A的左端至C板的距离L1

 
e.按下电钮放开卡销,同时使分别记录滑块A、B运动时间的计时器开始工作。当A、B滑块分别碰撞C、D挡板时停止计时,记下A、B分别到达C、D的运动时间t1和t2

 

 

 

 

 

①实验中还应测量的物理量是           

②利用上述测量的实验数据,验证动量守恒

定律的表达式是         

③利用上述实验数据还可以求出被压缩弹簧的弹性势能的大小,请写出弹性势能表达式为                            

   (3)实验桌上有下列实验仪器:(

        A.待测电源(电动势约3V,内阻约7 Ω):

        B.直流电流表(量程0~0.6~3A,0.6A档的内阻约0.5Ω,3A档的内阻约0.1Ω:)

        C.直流电压表(量程0~3~15V,3V档内阻约5kΩ,15V档内阻约25kΩ):

        D.滑动变阻器(阻值范围为0~15Ω,允许最大电流为1A):

        E.滑动变阻器(阻值范围为0~1000Ω,允许最大电流为0.2A):

 
        F.开关、导线若干:

请解答下列问题:

①利用给出的器材测量电源的电动势和内阻,

要求测量有尽可能高的精度且便于调节,应

选择的滑动变阻器是       (填代号),应

选择的电流表量程是      (填量程),应选

择的电压表量程是         (填量程)。

②根据某同学测得的数据得知电动势E=3V,

内阻r=6Ω,某小灯泡的伏安特性曲线如图

所示,将此小灯泡与上述电源组成闭合回路,

此时小灯泡的实际功率为       W。(保留

3位有效数字)

 

违法和不良信息举报电话:027-86699610 举报邮箱:58377363@163.com

精英家教网