题目内容
物体做变加速直线运动,依次经过A、B、C 3点,B为AC的中点,物体在AB段加速度恒为a1,在BC段加速度恒为a2,已知A、B、C 3点的速度为vA、vB、vC,有vA<vC,且A.a1<a2
B.a1=a2
C.a1>a2
D.条件不足无法确定
【答案】分析:匀变速运动过程不涉及时间时可以用位移速度关系式.
解答:解:设物体AB段和BC段位移均为x,第一段位移中加速度a1,第二段加速度a2
对AB段:
①
对BC段:
②
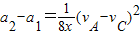
用②-①得:
因为物体做加速运动x位移为正,
解得:a2>a1
故选:A
点评:本题是匀变速直线运动的基本公式的直接应用,属于比较简单的题目,解题时要学会选择不同阶段重复使用同一个公式,这样很多问题就会迎刃而解了.
解答:解:设物体AB段和BC段位移均为x,第一段位移中加速度a1,第二段加速度a2
对AB段:
对BC段:
用②-①得:
因为物体做加速运动x位移为正,
解得:a2>a1
故选:A
点评:本题是匀变速直线运动的基本公式的直接应用,属于比较简单的题目,解题时要学会选择不同阶段重复使用同一个公式,这样很多问题就会迎刃而解了.
练习册系列答案
相关题目
| A、物体做匀变速曲线运动 | B、物体做变加速直线运动 | C、物体运动的初速度大小是5m/s | D、物体运动的加速度大小是5m/s2 |