题目内容
【答案】分析:首先认识电路的结构:当电键S断开时,R1、R4、R3串联,电流表测量总电流,电压表V1的测量R3、R4串联电压.当电键S闭合时,R1、R2并联后R4、R3串联,电流表测量R1的电流,电压表V2测量R4的电压.根据欧姆定律,结合串并联电路的特点求解.
解答:解:(1)电键S断开时 P=EI 得到
(2)电键S断开时
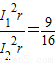
电键断开和闭合时电源内部损耗的电功率之比是9:16 即
而I1=0.75A 故I2=1A
电键S闭合时,
故R3=7.6-4=3.6Ω
(3)电键S断开时,
得r=0.4Ω
电键S闭合时
得R2=8Ω
答;电源的电动势为12V,电阻R2是8Ω,R3是3.6.
点评:本题考查分析、处理复杂电路问题的能力.对于电路问题,首先要搞清电路的结构,弄清电表测量哪部分电路的电压或电流.
解答:解:(1)电键S断开时 P=EI 得到
(2)电键S断开时
电键断开和闭合时电源内部损耗的电功率之比是9:16 即
而I1=0.75A 故I2=1A
电键S闭合时,
故R3=7.6-4=3.6Ω
(3)电键S断开时,
电键S闭合时
答;电源的电动势为12V,电阻R2是8Ω,R3是3.6.
点评:本题考查分析、处理复杂电路问题的能力.对于电路问题,首先要搞清电路的结构,弄清电表测量哪部分电路的电压或电流.
练习册系列答案
相关题目