ÌâÄ¿ÄÚÈÝ

(18·Ö)ÈçͼËùʾ£¬Î»ÓÚA°å¸½½üµÄ·ÅÉäÔ´PÁ¬ÐøÊͷųöÖÊÁ¿·Ö±ðΪmºÍ2m¡¢µçºÉÁ¿¾ùΪ+qµÄa¡¢bÁ½ÖÖÁ£×Ó£¬ËüÃÇ´Ó¾²Ö¹¿ªÊ¼¾­¼«°åA¡¢B¼äµç³¡¼ÓËÙºó£¬ÑØÖÐÐÄÖáÏß·½Ïò½øÈëÆ½Ðм«°åM¡¢N¼äµÄƫתµç³¡£¬·É³öƫתµç³¡ºó½øÈëÓÒ²àµÄÓнçÔÈÇ¿´Å³¡£¬×îºó´òÔÚλÓڴų¡±ß½çÉϵÄÓ«¹âÆÁÉϲ¢²úÉú¹â°ß(Ó«¹âÆÁµÄ϶ËλÓÚÖÐÐÄÖáÏßÉÏ£©.ÒÑÖªA¡¢BÎʵçѹΪ;¼«°åM¡¢N³¤ÎªL£¬¼ä¾àΪ£¬Ò²°å¼äµçѹΪ£¬´Å³¡µÄ´Å¸ÐӦǿ¶È´óСΪB¡¢·½Ïò´¹Ö±Ö½ÃæÏòÀ´Å³¡µÄ×ó±ß½çÓëÖÐÐÄÖáÏß´¹Ö±.²»¼ÆÁ£×ÓµÄÖØÁ¦¼°ÆäÏ໥¼äµÄ×÷ÓÃ.Çó

(1)Á½ÖÖÁ£×ÓÉäÈëÆ«×ªµç³¡Ê±µÄ³õËÙ¶È;

(2)Á½ÖÖÁ£×ÓÀ뿪ƫתµç³¡Ê±µÄƫת¾àÀëºÍƫת½Ç¶ÈµÄÕýÇÐÖµ;

(3)ʵÑé·¢ÏÖ£¬Ó«¹âÆÁÉϳöÏÖÁËÁ½¸ö¹â°ß£¬ÇóÕâÁ½¸ö¹â°ß¼äµÄ¾àÀë.

 

¡¾´ð°¸¡¿

£¨1£©£¬£¨2£©£¬£¨3£©

¡¾½âÎö¡¿

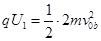
ÊÔÌâ·ÖÎö£º£¨1£©Éèa¡¢bÁ£×ÓÉäÈëÆ«×ªµç³¡Ê±µÄ³õËÙ¶È·Ö±ðΪºÍ£¬ÓÐ

   £¨1·Ö£©

½âµÃ£º     £¨1·Ö£©

       £¨1·Ö£©

½âµÃ£º            £¨1·Ö£©

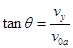
£¨2£©ÉèaÁ£×ÓÔÚÆ«×ªµç³¡ÖÐµÄÆ­¾ÖΪy£¬Æ«½ÇΪ£¬ÓÐ

       £¨2·Ö£©

             £¨1·Ö£©

          £¨1·Ö£©

           £¨1·Ö£©

½âµÃ£º             £¨1·Ö£©

        £¨1·Ö£©

¿É¼ûÆ«¾àºÍÆ«½ÇÓëÁ£×Ó±¾ÉíÎ޹أ¬Á½ÖÖÁ£×ÓÆ«¾àºÍÆ«½ÇÏàͬ£®

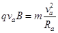
£¨3£©¶ÔaÁ£×Ó£¬Éä³öƫתµç³¡Ê±£¬ÉèËÙ¶ÈΪva£¬ÓÐ

       £¨1·Ö£©

Á£×ÓÉäÈë´Å³¡ºó£¬ÓÐ

      £¨2·Ö£©

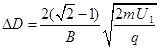
Óɼ¸ºÎ¹ØÏµµÃ£¬Á£×ÓÔڴų¡ÖеÄÉäÈëµãÓëÆä¹â°ß¼äµÄ¾àÀëΪ

        £¨1·Ö£©

½âµÃ£º         £¨1·Ö£©

ͬÀí¿ÉµÃbÁ£×ÓÔڴų¡ÖеÄÉäÈëµãÓëÆä¹â°ß¼äµÄ¾àÀëΪ

      £¨1·Ö£©

Á½¸ö¹â°ß¼äµÄ¾àÀëΪ        £¨1·Ö£©

˵Ã÷£ºÇóÁ£×ÓÔڴų¡Öа뾶ʱ£¬ÒªÁгöԭʼ¹«Ê½£¬Ö±½ÓʹÓð뾶¹«Ê½£¬¸ÃµÃ·ÖµãµÃ1·Ö¡£

¿¼µã£º±¾Ì⿼²éÁË´øµçÁ£×ÓÔÚ¸´ºÏ³¡ÖеÄÔ˶¯

 

Á·Ï°²áϵÁдð°¸
Ïà¹ØÌâÄ¿

Î¥·¨ºÍ²»Á¼ÐÅÏ¢¾Ù±¨µç»°£º027-86699610 ¾Ù±¨ÓÊÏ䣺58377363@163.com

¾«Ó¢¼Ò½ÌÍø