题目内容
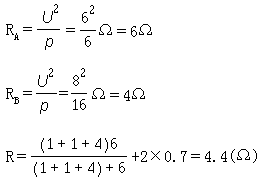
如图所示电路,A灯铭牌标有“6V,6W”,B灯铭牌标有“8V,16W”,R1=R2=0.7Ω。R3=R4=1Ω,电源内阻r=0.1Ω。欲使A灯正常发光,则电源电动势E=______V,B灯的实际功率是PB=________W。
答案:9;4
解析:
解析:
|
解:
A正常发光 所以 IA= R3+R4+RB=RA, 所以 IA=IB=1A I=IA+IB=1+1=2(A) I= p'B=IB2RB=4(W) |
练习册系列答案
相关题目
| A、S闭合瞬间,A、B同时发光,接着A熄灭,B更亮 | B、S闭合瞬间,A不亮,B立即亮 | C、稳定后再断开S的瞬间,通过A灯电流方向由a→b | D、稳定后再断开S的瞬间,B闪烁一下然后逐渐熄灭 |