设斜率为2的直线l过抛物线y2=ax(a≠0)的焦点F,且和y轴交于点A,若△OAF(O为坐标原点)的面积为4,则抛物线的方程为( )
| A.y2=±4x | B.y2=±8 | C.y2=4x | D.y2=8x |
如图,已知点B是椭圆
的短轴位于x轴下方的端点,过B作斜率为1的直线交椭圆于点M,点P在y轴上,且PM//x轴,
,若点P的坐标为(0,t),则t的取值范围是( )
A.0<t<3 B.0<t≤3 C.
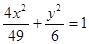
如图,已知点B是椭圆
的短轴位于x轴下方的端点,
过B作斜率为1的直线交椭圆于点M,点P在y轴上,且PM//x轴,
?
=9,若点P的坐标为(0,t),则t的取值范围是 ( )![]()
| A.0<t<3 | B.0<t≤3 | C. | D. |
若抛物线
的焦点与双曲线
的右焦点重合,则
的值为( )
| A.-6 | B.6 | C.-4 | D.4 |
若抛物线
的焦点与双曲线
的右焦点重合,则
的值为( )
| A.-6 | B.6 | C.-4 | D.4 |
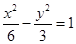
设F1,F2是椭圆
的两个焦点,P是椭圆上的点,且
,
则
的面积为( )
| A.4 | B.6 | C. | D. |