题目内容
已知函数f(x)=
x2+lnx,
(Ⅰ)求函数f(x)在[1,e]上的最大值、最小值;
(Ⅱ)求证:在区间[1,+∞)上,函数f(x)的图象在函数g(x)=
x3图象的下方;
(Ⅲ)求证:[f′(x)]n-f′(xn)≥2n-2(n∈N*)。
(Ⅰ)求函数f(x)在[1,e]上的最大值、最小值;
(Ⅱ)求证:在区间[1,+∞)上,函数f(x)的图象在函数g(x)=
(Ⅲ)求证:[f′(x)]n-f′(xn)≥2n-2(n∈N*)。
解:(Ⅰ)∵f′(x)=
,
∴当x∈[1,e]时,f′(x)>0,
∴f(x)在[1,e]上是增函数,
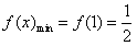
故
,
;
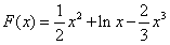
(Ⅱ)设
,则
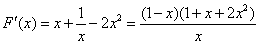
,
∵x>1时,∴F′(x)<0,故F(x)在[1,+∞)上是减函数,
又
,故在[1,+∞)上,F(x)<0,即
,
∴函数f(x)的图象在函数
的图象的下方。
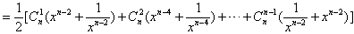
(Ⅲ)∵x>0,
∴
,
当n=1时,不等式显然成立;
当n≥2时,有



≥
,
∴[f′(x)]n-f′(xn)≥2n-2(n∈N*)。
∴当x∈[1,e]时,f′(x)>0,
∴f(x)在[1,e]上是增函数,
故
(Ⅱ)设
∵x>1时,∴F′(x)<0,故F(x)在[1,+∞)上是减函数,
又
∴函数f(x)的图象在函数
(Ⅲ)∵x>0,
∴
当n=1时,不等式显然成立;
当n≥2时,有
≥
∴[f′(x)]n-f′(xn)≥2n-2(n∈N*)。
练习册系列答案
相关题目