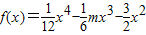
题目内容
设函数y=f(x)在区间(a,b)的导函数f′(x),f′(x)在区间(a,b)的导函数f″(x),若在区间(a,b)上的f″(x)<0恒成立,则称函数f(x)在区间(a,b)上为“凸函数”,已知A.1
B.2
C.3
D.4
【答案】分析:利用函数总为“凸函数”,即f″(x)<0恒成立,转化为不等式恒成立问题,讨论解不等式即可.
解答:解:当|m|≤2时,f″(x)=x2-mx-3<0恒成立等价于当|m|≤2时,mx>x2-3恒成立.
当x=0时,f″(x)=-3<0显然成立.
当x>0,x-
<m
∵m的最小值是-2,∴x-
<-2,从而解得0<x<1;
当x<0,x-
>m
∵m的最大值是2,∴x-
>2,从而解得-1<x<0.
综上可得-1<x<1,从而(b-a)max=1-(-1)=2
故选B.
点评:本题考查函数的导数与不等式恒成立问题的解法,关键是要理解题目所给信息(新定义),考查知识迁移与转化能力,属于中档题.
解答:解:当|m|≤2时,f″(x)=x2-mx-3<0恒成立等价于当|m|≤2时,mx>x2-3恒成立.
当x=0时,f″(x)=-3<0显然成立.
当x>0,x-
∵m的最小值是-2,∴x-
当x<0,x-
∵m的最大值是2,∴x-
综上可得-1<x<1,从而(b-a)max=1-(-1)=2
故选B.
点评:本题考查函数的导数与不等式恒成立问题的解法,关键是要理解题目所给信息(新定义),考查知识迁移与转化能力,属于中档题.
练习册系列答案
相关题目
设函数y=f(x)在(-∞,+∞)内有定义.对于给定的正数K,定义函数 fk(x)=
,取函数f(x)=2-x-e-x.若对任意的x∈(+∞,-∞),恒有fk(x)=f(x),则( )
|
| A、K的最大值为2 |
| B、K的最小值为2 |
| C、K的最大值为1 |
| D、K的最小值为1 |