题目内容
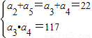
已知公差大于零的等差数列{an}的前n项和为Sn,且满足:a3•a4=117,a2+a5=22.(1)求数列{an}的通项公式an;
(2)若数列{bn}是等差数列,且
【答案】分析:(1)利用等差数列的性质可得
,联立方程可得a3,a4,代入等差数列的通项公式可求an
(2)代入等差数列的前n和公式可求sn,进一步可得bn,然后结合等差数列的定义可得2b2=b1+b3,从而可求c
解答:解:(1)an为等差数列,a3•a4=117,a2+a5=22
又a2+a5=a3+a4=22
∴a3,a4是方程x2-22x+117=0的两个根,d>0
∴a3=9,a4=13
∴
∴d=4,a1=1
∴an=1+(n-1)×4=4n-3
(2)由(1)知,
∵
∴
,
,
,
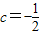
∵bn是等差数列,∴2b2=b1+b3,∴2c2+c=0,
∴
(c=0舍去)
点评:本题主要考查了等差数列的定义、性质、通项公式、前n项和公式的综合运用,以及构造法的运用,是一道综合性很好的试题.
(2)代入等差数列的前n和公式可求sn,进一步可得bn,然后结合等差数列的定义可得2b2=b1+b3,从而可求c
解答:解:(1)an为等差数列,a3•a4=117,a2+a5=22
又a2+a5=a3+a4=22
∴a3,a4是方程x2-22x+117=0的两个根,d>0
∴a3=9,a4=13
∴
∴d=4,a1=1
∴an=1+(n-1)×4=4n-3
(2)由(1)知,
∵
∴
∵bn是等差数列,∴2b2=b1+b3,∴2c2+c=0,
∴
点评:本题主要考查了等差数列的定义、性质、通项公式、前n项和公式的综合运用,以及构造法的运用,是一道综合性很好的试题.
练习册系列答案
相关题目