题目内容
已知
(-1<x<1).
(1)若f(a)+f(b)=0,求证a+b=0;
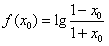
(2)设f(
)+f(
)=f(x0),求x0的值;
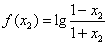
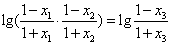
(3)设x1,x2∈(-1,1),是否存在x3∈(-1,1),使得f(x1)+f(x2)=f(x3),若存在,求出x3,并证明你的结论;若不存在,请说明理由。
(1)若f(a)+f(b)=0,求证a+b=0;
(2)设f(
(3)设x1,x2∈(-1,1),是否存在x3∈(-1,1),使得f(x1)+f(x2)=f(x3),若存在,求出x3,并证明你的结论;若不存在,请说明理由。
解:(1)由
得
∴
∴
∴
化简得a+b=0;
(2)
,
,

由
得
解得
;
(3)假设存在
使得
∵
,
∴
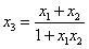
解得
下证
先用分析法证明
∵
∴
要证明
,即要证
,即要证
∵
∴
∴
同理可证
所以存在
,使得
。
∴
∴
∴
化简得a+b=0;
(2)
由
解得
(3)假设存在
∵
∴
解得
下证
先用分析法证明
∵
∴
要证明
∵
∴
∴
同理可证
所以存在
练习册系列答案
相关题目