题目内容
已知二次函数f(x)=ax2+bx(a,b是常数,且a≠0)有零点2,且方程f(x)=x有两个相等的实数根.则f(x)的解析式是 .
【答案】分析:根据函数f(x)有零点2,把x=2代入得y=0,从而得到一个关于a、b的方程,然后再由方程f(x)=x有两个相等的实数根,由判别式等于0得另一方程,联立求解a、b即可.
解答:解:由二次函数f(x)=ax2+bx(a,b是常数,且a≠0)有零点2,得:a×22+2b=0①,
又方程f(x)=x有两个相等的实数根,即ax2+(b-1)x=0有相等的实数根,
所以(b-1)2-4a=0②,
联立①②得:
,
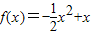
所以
.
故答案为
.
点评:本题考查了函数解析式的求解及常用方法,考查了方程思想,考查了函数零点的概念,注意零点不是点,而是数,此题为中低档题.
解答:解:由二次函数f(x)=ax2+bx(a,b是常数,且a≠0)有零点2,得:a×22+2b=0①,
又方程f(x)=x有两个相等的实数根,即ax2+(b-1)x=0有相等的实数根,
所以(b-1)2-4a=0②,
联立①②得:
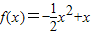
所以
故答案为
点评:本题考查了函数解析式的求解及常用方法,考查了方程思想,考查了函数零点的概念,注意零点不是点,而是数,此题为中低档题.
练习册系列答案
相关题目