题目内容
已知数列{an}的前n项和是Sn,且(Ⅰ)求数列{an}的通项公式;
(Ⅱ)设bn=log3(1-Sn+1),求适合方程
【答案】分析:(Ⅰ)令n=1,得到
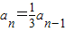
,当n≥2时,求出
和
,两者相减,利用an=sn-sn-1得到∴{an}是以
为首项,
为公比的等比数列.求出通项公式即可;
(Ⅱ)求出
,代入bn=log3(1-Sn+1)中得bn=-n-1
利用
=
-
化简等式得到关于n的方程,求出解即可.
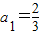
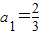
解答:解:(Ⅰ)当n=1时,a1=S1,由
,得
.
当n≥2时,
∵
,
,
∴
,即
.
∴
.
∴{an}是以
为首项,
为公比的等比数列.
故
. (7分)
(Ⅱ)
,
bn=
,(9分)

(11分)
解方程
,得n=100(14分)
点评:考查学生灵活运用做差法求数列通项公式的能力,以及会求等比数列的通项公式及前n项和的公式.
(Ⅱ)求出
利用
解答:解:(Ⅰ)当n=1时,a1=S1,由
当n≥2时,
∵
∴
∴
∴{an}是以
故
(Ⅱ)
bn=
解方程
点评:考查学生灵活运用做差法求数列通项公式的能力,以及会求等比数列的通项公式及前n项和的公式.
练习册系列答案
相关题目
已知数列{an}的前n项和Sn=an2+bn(a、b∈R),且S25=100,则a12+a14等于( )
| A、16 | B、8 | C、4 | D、不确定 |