题目内容
已知函数f(x)=log3(ax+b)的图象过点A(2,1),B(5,2),
(1)求函数f(x)的解析式;
(2)记an=3f(n)(n∈N*),是否存在正数k,使得
对一切n∈N*均成立,若存在,求出k的最大值;若不存在,说明理由。
(1)求函数f(x)的解析式;
(2)记an=3f(n)(n∈N*),是否存在正数k,使得
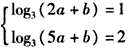
解:(1)由已知得,
,解得a=2,b=-1,
所以
。
(2)由题知,
,
假设存在正数k使得
对一切n∈N*均成立,
则
,
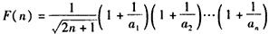
记
,
则
,
∵
,
∴F(n+1)>F(n),所以{F(n)}是递增数列,
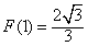
∵n∈N*,
∴当n=1时F(n)最小,最小值为
,
∴k≤
,即k的最大值为
。
所以
(2)由题知,
假设存在正数k使得
则
记
则
∵
∴F(n+1)>F(n),所以{F(n)}是递增数列,
∵n∈N*,
∴当n=1时F(n)最小,最小值为
∴k≤
练习册系列答案
相关题目