题目内容
已知等差数列{an}满足:a3=7,a5+a7=26,{an}的前n项和为Sn,
(Ⅰ)求an及Sn;
(Ⅱ)令
,求数列{bn}的前n项和Tn。
(Ⅰ)求an及Sn;
(Ⅱ)令
解:(Ⅰ)设等差数列{an}的首项为a1,公差为d,
由于a3=7,a5+a7=26,
所以a1+2d=7,2a1+10d=26,
解得a1=3,d=2,
由于an=a1+(n-1)d,
,
所以an=2n+l,Sn=n(n+2).
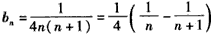
(Ⅱ)因为an=2n+1,所以an2-1=4n(n+1),
因此
,
故Tn=b1+b2+…+bn

,
所以数列{bn}的前n项和
。
由于a3=7,a5+a7=26,
所以a1+2d=7,2a1+10d=26,
解得a1=3,d=2,
由于an=a1+(n-1)d,
所以an=2n+l,Sn=n(n+2).
(Ⅱ)因为an=2n+1,所以an2-1=4n(n+1),
因此
故Tn=b1+b2+…+bn
所以数列{bn}的前n项和
练习册系列答案
相关题目