题目内容
某工厂生产某种产品,已知该产品的月生产量x(吨)与每吨产品的价格p(元/吨)之间的关系式为:p=24200-
x2,且生产x吨的成本为R=50000+200x(元),问该厂每月生产多少吨产品才能使利润达到最大?最大利润是多少?(利润=收入─成本)
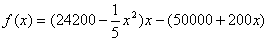
解:每月生产x吨时的利润为

,
由
,解得
(舍去),
因f(x)在[0,+∞)内只有一个点x=200使f′(x)=0,
故它就是最大值点,且最大值为
,
答:每月生产200吨产品时利润达到最大,最大利润为315万元。
由
因f(x)在[0,+∞)内只有一个点x=200使f′(x)=0,
故它就是最大值点,且最大值为
答:每月生产200吨产品时利润达到最大,最大利润为315万元。
练习册系列答案
相关题目