题目内容
已知函数f(x)=ax+lnx(a∈R),
(1)若a=2,求曲线y=f(x)在x=1处切线的斜率;
(2)求f(x)的单调区间;
(3)设g(x)=x2-2x+2,若对任意x1∈(0,+∞),均存在x2∈[0,1],使得f(x1)<g(x2),求a的取值范围。
(1)若a=2,求曲线y=f(x)在x=1处切线的斜率;
(2)求f(x)的单调区间;
(3)设g(x)=x2-2x+2,若对任意x1∈(0,+∞),均存在x2∈[0,1],使得f(x1)<g(x2),求a的取值范围。
解:(1)由题意知
,f′(1)=2+1=3,
故曲线y=f(x)在x=1处切线的斜率为3;
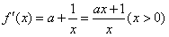
(2)
,
①当a≥0时,由于x>0,故ax+1>0,f′(x)>0,
所以f(x)的单调递增区间为(0,+∞);
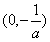
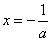
②当a<0时,由f′(x)=0,得
,在区间
上,f′(x)>0,在区间
上,f′(x)<0,
所以,函数f(x)的单调递增区间为
,单调递减区间为
;
(3)由题意知,转化为
(其中x1∈(0,+∞),x2∈[0,1]),
由(2)知,当a≥0时,f′(x1)>0,f(x1)在(0,+∞)上单调递增,值域为R,故不符合题意;
当a<0时,f(x1)在
上单调递增,在
上单调递减,
故f(x1)的极大值即为最大值,
f(x1)max=
,
所以
,
解得
。
故曲线y=f(x)在x=1处切线的斜率为3;
(2)
①当a≥0时,由于x>0,故ax+1>0,f′(x)>0,
所以f(x)的单调递增区间为(0,+∞);
②当a<0时,由f′(x)=0,得
所以,函数f(x)的单调递增区间为
(3)由题意知,转化为
由(2)知,当a≥0时,f′(x1)>0,f(x1)在(0,+∞)上单调递增,值域为R,故不符合题意;
当a<0时,f(x1)在
故f(x1)的极大值即为最大值,
f(x1)max=
所以
解得
练习册系列答案
相关题目
已知函数f(x)=a-
,若f(x)为奇函数,则a=( )
| 1 |
| 2x+1 |
A、
| ||
| B、2 | ||
C、
| ||
| D、3 |