题目内容
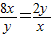
已知x>0,y>0,A.6
B.12
C.18
D.24
【答案】分析:由已知可得,x+y=(x+y)(
)=10+
,利用基本不等式即可求解
解答:解:∵x>0,y>0,
∴x+y=(x+y)(
)=10+

当且仅当
即x=4,y=8时取等号
∴x+y的最小值为18
故选C
点评:本题主要考查了基本不等式在求解最值中的应用,解题的关键是进行1的代换,属于基础试题
解答:解:∵x>0,y>0,
∴x+y=(x+y)(
当且仅当
∴x+y的最小值为18
故选C
点评:本题主要考查了基本不等式在求解最值中的应用,解题的关键是进行1的代换,属于基础试题
练习册系列答案
相关题目
(2007
宁夏,7)已知x>0,y>0,x,a,b,y成等差数列,x,c,d,y成等比数列,则[
]|
A .0 |
B .1 |
C .2 |
D .4 |