题目内容

如图,四边形ABCD中(图1),E是BC的中点,DB=2,DC=1,.将(图1)沿直线BD折起,使二面角A﹣BD﹣C为60°(如图2)

(1)求证:AE⊥平面BDC;

(2)求二面角A﹣DC﹣B的余弦值.

考点:

用空间向量求平面间的夹角;直线与平面垂直的判定;向量语言表述线面的垂直、平行关系;二面角的平面角及求法.

专题:

计算题;证明题.

分析:

(1)先根据条件得到BD⊥平面AEM;进而通过求边长得到AE⊥ME;即可得到结论;

(2)先建立空间直角坐标系,求出两个半平面的法向量的坐标,再代入向量的夹角计算公式即可.

解答:

解:(1)如图取BD中点M,连接AM,ME.

∴AM⊥BD

∵DB=2,DC=1,⇒DB2+DC2=BC2

所以△BCD是BC为斜边的直角三角形,BD⊥DC,

∵E是BC的中点,∴ME为△BCD的中位线

∴ME⊥BD,

∴∠AME是二面角A﹣BD﹣C的平面角∴∠AME=60°…(3分)

∵AM⊥BD,ME⊥BD且AM、ME是平面AME内两相交于M的直线,

∴BD⊥平面AEM∵AE⊂平面AEM,

∴BD⊥AE

,DB=2,

∴△ABD为等腰直角三角形,

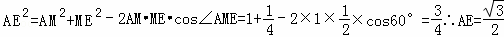
∴AE2+ME2=1=AM2

∴AE⊥ME=M,

∴BD∩ME,BD⊂平面BDC,ME⊂面BDC,

∴AE⊥平面BDC…(6分)

(2)如图,以M为原点MB为x轴,ME为y轴,建立空间直角坐标系M﹣xyz,

则由(1)及已知条件可知B(1,0,0),,D(﹣1,0,0),C(﹣1,1,0),…(8分)

设平面ACD的法向量为

…(10分)

点评:

本题主要考察线面垂直的证明以及二面角的求法.一般在证明线面垂直时,先转化为证明线线垂直.进而得到线面垂直.

练习册系列答案
相关题目

违法和不良信息举报电话:027-86699610 举报邮箱:58377363@163.com

精英家教网