题目内容
在△ABC中,角A,B,C的对边分别为a,b,c.已知向量(1)求角C的大小;
(2)若
【答案】分析:(1)由
⊥
得(a+c)(a-c)+(b-a)b=0化简整理得a2+b2-c2=ab代入余弦定理即可求得cosC,进而求得C.
(2)根据C,求得
代入
中,根据两角和与差公式化简整理得
,进而求得A.
解答:解:(1)由
⊥
得
•
═(a+c,b-a)•(a-c,b)=0;
整理得a2+b2-c2-ab=0.即a2+b2-c2=ab,
又
.
又因为0<C<π,所以
.
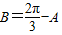
(2)因为
,
所以
,
故
.
由
.
即
,
所以
.
即
.
因为
,
所以
,
故
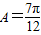
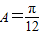
或
.
所以
或
.
点评:本题主要考查了余弦定理的应用和同角三角函数关系.考查了学生综合分析问题的能力.
(2)根据C,求得
解答:解:(1)由
整理得a2+b2-c2-ab=0.即a2+b2-c2=ab,
又
又因为0<C<π,所以
(2)因为
所以
故
由
即
所以
即
因为
所以
故
所以
点评:本题主要考查了余弦定理的应用和同角三角函数关系.考查了学生综合分析问题的能力.
练习册系列答案
相关题目
在△ABC中,角A、B、C所对的边分别为a,b,c,若b2+c2-a2=
bc,且b=
a,则下列关系一定不成立的是( )
| 3 |
| 3 |
| A、a=c |
| B、b=c |
| C、2a=c |
| D、a2+b2=c2 |