题目内容
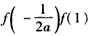
已知a是实数,函数f(x)=2ax2+2x-3-a,如果函数y=f(x)在区间[-1,1]上有零点,求a的取值范围.
解:若a=0,则函数f(x)=2x-3在区间[-1,1]上没有零点。
下面就a≠0时分三种情况讨沦:
(1)方程f(x)=0在区间[-1,1]上有重根,此时△=4(2a2+6a+1)=0,
解得
,
当
时,f(x)=0的重根
;
当
时,f(x)=0的重根
;
故当方程f(x)=0在区间[-1,1]上有重根时,
;
(2)f(x)在区间[-1,1]上只有一个零点且不是f(x)=0的重根,此时有f(-1)f(1)≤0,
∵f(-1)=a-5,f(1)=a-1,
∴(a-5)(a-1)≤0,即1≤a≤5,
∵当a=5时,方程f(x)=0在区间[-1,1]上有两个相异实根,
故当方程f(x)=0在区间[-1,1]上只有一个根且不是重根时,1≤a<5;
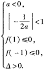
(3)方程f(x)=0在区间[-1,1]上有两个相异实根,
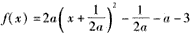
因为函数
,
其图象的对称轴方程为
,a应满足
(Ⅰ)
或(Ⅱ)
,
解不等式组(Ⅰ)得a≥5,
解不等式组(Ⅱ)得
,
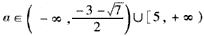
故当方程f(x)=0在区间[-1,1]上有两个相异实根时,
,
注意到当1≤a<5时,f(-1)f(1)≤0,方程f(x)=0在区间[-1,1]上有根;
当
时,
由于
<0,且
,方程f(x)=0在[-1,1]上有根;
当
时,方程f(x)=0在区间[-1,1]上有根;
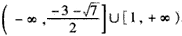
综上所述,函数y=f(x)在区间[-1,1]上有零点,则a的取值范围是
。
下面就a≠0时分三种情况讨沦:
(1)方程f(x)=0在区间[-1,1]上有重根,此时△=4(2a2+6a+1)=0,
解得
当
当
故当方程f(x)=0在区间[-1,1]上有重根时,
(2)f(x)在区间[-1,1]上只有一个零点且不是f(x)=0的重根,此时有f(-1)f(1)≤0,
∵f(-1)=a-5,f(1)=a-1,
∴(a-5)(a-1)≤0,即1≤a≤5,
∵当a=5时,方程f(x)=0在区间[-1,1]上有两个相异实根,
故当方程f(x)=0在区间[-1,1]上只有一个根且不是重根时,1≤a<5;
(3)方程f(x)=0在区间[-1,1]上有两个相异实根,
因为函数
其图象的对称轴方程为
(Ⅰ)
解不等式组(Ⅰ)得a≥5,
解不等式组(Ⅱ)得
故当方程f(x)=0在区间[-1,1]上有两个相异实根时,
注意到当1≤a<5时,f(-1)f(1)≤0,方程f(x)=0在区间[-1,1]上有根;
当
由于
当
综上所述,函数y=f(x)在区间[-1,1]上有零点,则a的取值范围是
练习册系列答案
相关题目