题目内容

不透明的袋子中装有除颜色不同其它完全一样的黑、白小球共10只,从中任意摸出一只小球得到是黑球的概率为.则从中任意摸出2只小球,至少得到一只白球的概率为         

 

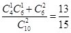
【答案】

【解析】

试题分析:这属于古典概型问题,设其中有黑球只,则有,故白球有6只,任意摸出2只小球,至少得到一只白球的概率为.

考点:古典概型.

 

练习册系列答案
相关题目

违法和不良信息举报电话:027-86699610 举报邮箱:58377363@163.com

精英家教网