题目内容
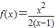
对于函数 f(x),若存在x∈R,使 f(x)=x成立,则称x为f(x)的“滞点”.已知函数f ( x )=(I)试问f(x)有无“滞点”?若有,求之,否则说明理由;
(II)已知数列{an}的各项均为负数,且满足
(III)已知bn=an•2n,求{bn}的前项和Tn.
【答案】分析:(I)由
,令f(x)=x,得x2-2x=0,解得x=0,或x=2.由此知f(x)存在两个滞点0和2.
(II)由题得
,所以2Sn=an-an2,故2Sn+1=an+1-an+12,
由②-①得2an+1=an+1-an+12-an+an2,∴(an+1+an)(an+1-an+1)=0∵an<0∴an+1-an=-1,由此能求出数列{an}的通项公式.
(III)由Tn=-1•2-2•22-3•23-…-n•2n,知2Tn=-1•22-2•23-3•24-…-(n-1)•2n-n•2n+1.由此能求出{bn}的前项和Tn.
解答:解:(I)由
,
令f(x)=x,…(2分)
得x2-2x=0,解得x=0,或x=2.
即f(x)存在两个滞点0和2.…(4分)
(II)由题得
,
∴2Sn=an-an2…①…(5分)
故2Sn+1=an+1-an+12…②
由②-①得2an+1=an+1-an+12-an+an2,
∴(an+1+an)(an+1-an+1)=0,
∵an<0,
∴an+1-an=-1,
即{an}是等差数列,且d=-1…(9分)
当n=1时,由2S1=a1-a12=2a1得a1=-1
∴an=-n…(11分)
(III)∵Tn=-1•2-2•22-3•23-…-n•2n…③
∴2Tn=-1•22-2•23-3•24-…-(n-1)•2n-n•2n+1…④
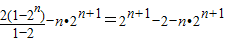
由④-③得Tn=2+22+23+…+2n-n•2n+1
=
…(14分)
点评:本题考查数列与函数的综合应用,解题时要认真审题,注意错位相减求和法的灵活运用.
(II)由题得
由②-①得2an+1=an+1-an+12-an+an2,∴(an+1+an)(an+1-an+1)=0∵an<0∴an+1-an=-1,由此能求出数列{an}的通项公式.
(III)由Tn=-1•2-2•22-3•23-…-n•2n,知2Tn=-1•22-2•23-3•24-…-(n-1)•2n-n•2n+1.由此能求出{bn}的前项和Tn.
解答:解:(I)由
令f(x)=x,…(2分)
得x2-2x=0,解得x=0,或x=2.
即f(x)存在两个滞点0和2.…(4分)
(II)由题得
∴2Sn=an-an2…①…(5分)
故2Sn+1=an+1-an+12…②
由②-①得2an+1=an+1-an+12-an+an2,
∴(an+1+an)(an+1-an+1)=0,
∵an<0,
∴an+1-an=-1,
即{an}是等差数列,且d=-1…(9分)
当n=1时,由2S1=a1-a12=2a1得a1=-1
∴an=-n…(11分)
(III)∵Tn=-1•2-2•22-3•23-…-n•2n…③
∴2Tn=-1•22-2•23-3•24-…-(n-1)•2n-n•2n+1…④
由④-③得Tn=2+22+23+…+2n-n•2n+1
=
点评:本题考查数列与函数的综合应用,解题时要认真审题,注意错位相减求和法的灵活运用.
练习册系列答案
相关题目