题目内容
已知等差数列{an}的前n项和为Sn,公差d≠0,且S3+S5=50,a1,a4,a13成等比数列.(Ⅰ)求数列{an}的通项公式;
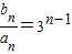
(Ⅱ)设
【答案】分析:(I)将已知等式用等差数列{an}的首项、公差表示,列出方程组,求出首项、公差;利用等差数列的通项公式求出数列{an}的通项公式.
(II)利用等比数列的通项公式求出
,进一步求出bn,根据数列{bn}通项的特点,选择错位相减法求出数列{bn}的前n项和Tn.
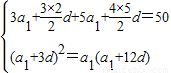
解答:解:(Ⅰ)依题意得
解得
,
∴an=a1+(n-1)d=3+2(n-1)=2n+1,
即an=2n+1.
(Ⅱ)
,
bn=an•3n-1=(2n+1)•3n-1
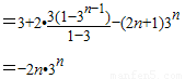
Tn=3+5•3+7•32+…+(2n+1)•3n-1
3Tn=3•3+5•32+7•33+…+(2n-1)•3n-1+(2n+1)•3n
-2Tn=3+2•3+2•32+…+2•3n-1-(2n+1)3n
∴Tn=n•3n.
点评:解决等差、等比两个特殊数列的问题,一般将已知条件用基本量表示,列出方程组解决;求数列的前n项和,一般先求出数列的通项,根据通项的特点选择合适的求和方法.
(II)利用等比数列的通项公式求出
解答:解:(Ⅰ)依题意得
解得
∴an=a1+(n-1)d=3+2(n-1)=2n+1,
即an=2n+1.
(Ⅱ)
bn=an•3n-1=(2n+1)•3n-1
Tn=3+5•3+7•32+…+(2n+1)•3n-1
3Tn=3•3+5•32+7•33+…+(2n-1)•3n-1+(2n+1)•3n
-2Tn=3+2•3+2•32+…+2•3n-1-(2n+1)3n
∴Tn=n•3n.
点评:解决等差、等比两个特殊数列的问题,一般将已知条件用基本量表示,列出方程组解决;求数列的前n项和,一般先求出数列的通项,根据通项的特点选择合适的求和方法.
练习册系列答案
相关题目