题目内容
设函数y=f(x)是定义在(0,+∞)上的函数,并满足f(xy)=f(x)+f(y),f(2)=1,若0<x<1时f(x)<0.(1)求f(1)的值;
(2)求证:f(x)在(0,+∞)上是增函数
(3)解不等式f(x)-f(x-1)≥2.
【答案】分析:(1)令x=y=1,根据定义在(0,+∞)上的函数f(x)恒有f(xy)=f(x)+f(y),我们易构造关于f(1)的方程,解方程即可求出求f(1);
(2)根据已知中定义在(0,+∞)上的函数f(x)恒有f(xy)=f(x)+f(y),并且0<x<1时,f(x)<0恒成立,结合函数单调性的证明方法--作差法(定义法)我们即可得到f(x)在(0,+∞)上单调递增;
(3)结合(1)、(2)的结论,我们可将不等式f(k•3x)-f(9x-3x+1)≥f(1)转化为一个指数不等式,进而利用换元法可将问题转化为一个二次不等式恒成立问题,解答后即可得到满足条件的实数k的取值范围.
解答:解:(1)∵f(xy)=f(x)+f(y),
令x=y=1,
则F(1)=2f(1)
∴f(1)=0; (5分)
证明:(2)由f(xy)=f(x)+f(y)
可得f(
)=f(y)-f(x),
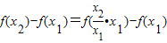
设x1>x2>0,
=
=
又x1>x2>0,
∴
,
即f(x2)<f(x1).
所以f(x)在(0,+∞)上是增函数;(10分)
(3)∵f(2)=1,
∴f(2×2)=f(2)+f(2)=2
由f(x)-f(x-1)≥f(4)
从而得到
,
解得
点评:本题考查的知识点是抽象函数及其应用,函数单调性的性质,其中(1)的关键是“凑配”思想的应用,(2)的关键是将f(xy)=f(x)+f(y),变型为
;(3)的关键是由f(x)-f(x-1)≥f(4)得到
(2)根据已知中定义在(0,+∞)上的函数f(x)恒有f(xy)=f(x)+f(y),并且0<x<1时,f(x)<0恒成立,结合函数单调性的证明方法--作差法(定义法)我们即可得到f(x)在(0,+∞)上单调递增;
(3)结合(1)、(2)的结论,我们可将不等式f(k•3x)-f(9x-3x+1)≥f(1)转化为一个指数不等式,进而利用换元法可将问题转化为一个二次不等式恒成立问题,解答后即可得到满足条件的实数k的取值范围.
解答:解:(1)∵f(xy)=f(x)+f(y),
令x=y=1,
则F(1)=2f(1)
∴f(1)=0; (5分)
证明:(2)由f(xy)=f(x)+f(y)
可得f(
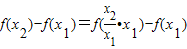
设x1>x2>0,
=
=
又x1>x2>0,
∴
即f(x2)<f(x1).
所以f(x)在(0,+∞)上是增函数;(10分)
(3)∵f(2)=1,
∴f(2×2)=f(2)+f(2)=2
由f(x)-f(x-1)≥f(4)
从而得到
解得
点评:本题考查的知识点是抽象函数及其应用,函数单调性的性质,其中(1)的关键是“凑配”思想的应用,(2)的关键是将f(xy)=f(x)+f(y),变型为
练习册系列答案
相关题目