题目内容
设函数f(x)=ln(1+x),g(x)=(Ⅰ)当x>-1时,比较x与f(x)的大小;
(Ⅱ)求数列{an}的通项公式;
(Ⅲ)求证:a1+a2+…+an>ln
【答案】分析:(Ⅰ)构造函数F(x)=x-ln(1+x)利用导数求其最小值,从而判断得到x≥ln(1+x);
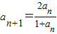
(Ⅱ)通过关系式an+1=g(an)变形得
是一等比数列,并求其通项,从而计算出数列{an}的通项公式;
(Ⅲ)由(Ⅰ)中x≥ln(1+x)知an>ln(an+1),而ln(an+1)=ln(2n+1)-ln(2n-1+1),然后利用累加法化简即可证明结论.
解答:解:(Ⅰ)当x>-1时,设F(x)=x-ln(1+x),∴F'(x)=1-
=
,,令F'(x)=0 有x=0,
当x∈(-1,0),F'(x)<0,F(x)单调递减;当x∈(0,+∞),F'(x)>0,F(x)单调递增.
∴F(x)的最小值为F(0)=0∴x≥ln(1+x);
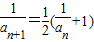
(Ⅱ)∵
,∴
,∴
,
∴
为首项是1、公比为
的等比数列.∴
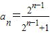
=
,∴
;
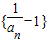
(Ⅲ)∵an>0,由(Ⅰ)知
,
∴a1+a2+…+an>[ln(21+1)-ln(2+1)+…+ln(2n+1)-ln(2n-1+1)]
=
,即证.
点评:此题考查函数的导数应用,及数列求和中裂项相消法的运用.
(Ⅱ)通过关系式an+1=g(an)变形得
(Ⅲ)由(Ⅰ)中x≥ln(1+x)知an>ln(an+1),而ln(an+1)=ln(2n+1)-ln(2n-1+1),然后利用累加法化简即可证明结论.
解答:解:(Ⅰ)当x>-1时,设F(x)=x-ln(1+x),∴F'(x)=1-
当x∈(-1,0),F'(x)<0,F(x)单调递减;当x∈(0,+∞),F'(x)>0,F(x)单调递增.
∴F(x)的最小值为F(0)=0∴x≥ln(1+x);
(Ⅱ)∵
∴
(Ⅲ)∵an>0,由(Ⅰ)知
∴a1+a2+…+an>[ln(21+1)-ln(2+1)+…+ln(2n+1)-ln(2n-1+1)]
=
点评:此题考查函数的导数应用,及数列求和中裂项相消法的运用.
练习册系列答案
相关题目