题目内容
已知数列{an}的前n项和为Sn,且Sn=n2.数列{bn}为等比数列,且b1=1,b4=8.(Ⅰ)求数列{an},{bn}的通项公式;
(Ⅱ)若数列{cn}满足cn=abn,求数列{cn}的前n项和Tn,并证明Tn≥1.
【答案】分析:(Ⅰ)对于数列{an},已知Sn=n2,利用递推公式可求当n≥2时,an=Sn-Sn-1,当n=1时,a1=S1=1可求an,对于数列{bn},是等比数列,设公比为q,及b1=1,b4=b1q3=8,可求q,进而可求bn
(Ⅱ)由题意可得,cn=abn=2bn-1=2n-1,结合数列的特点可考虑利用分组求和,结合等差数列及等比数列的求和公式可求.
解答:(Ⅰ)解:∵数列{an}的前n项和为Sn,且Sn=n2,
∴当n≥2时,an=Sn-Sn-1=n2-(n-1)2=2n-1.
当n=1时,a1=S1=1亦满足上式,故an=2n-1,(n∈N*).
数列{bn}为等比数列,设公比为q,
∵b1=1,b4=b1q3=8,∴q=2.
∴bn=2n-1(n∈N*).
(Ⅱ)证明:cn=abn=2bn-1=2n-1.
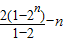
∴Tn=c1+c2+c3+…cn=(21-1)+(22-1)+…+(2n-1)=(21+22+…2n)-n=
∴Tn=2n+1-2-n.
∵Tn-Tn-1=2n-1>0,∴Tn>Tn-1,∴Tn>Tn-1>…>T1=1.
∴Tn≥1.
点评:本题综合考查等比数列与等差数列,涉及数列的性质及数列的求和,求出数列的通项是关键.
(Ⅱ)由题意可得,cn=abn=2bn-1=2n-1,结合数列的特点可考虑利用分组求和,结合等差数列及等比数列的求和公式可求.
解答:(Ⅰ)解:∵数列{an}的前n项和为Sn,且Sn=n2,
∴当n≥2时,an=Sn-Sn-1=n2-(n-1)2=2n-1.
当n=1时,a1=S1=1亦满足上式,故an=2n-1,(n∈N*).
数列{bn}为等比数列,设公比为q,
∵b1=1,b4=b1q3=8,∴q=2.
∴bn=2n-1(n∈N*).
(Ⅱ)证明:cn=abn=2bn-1=2n-1.
∴Tn=c1+c2+c3+…cn=(21-1)+(22-1)+…+(2n-1)=(21+22+…2n)-n=
∴Tn=2n+1-2-n.
∵Tn-Tn-1=2n-1>0,∴Tn>Tn-1,∴Tn>Tn-1>…>T1=1.
∴Tn≥1.
点评:本题综合考查等比数列与等差数列,涉及数列的性质及数列的求和,求出数列的通项是关键.
练习册系列答案
相关题目
已知数列{an}的前n项和Sn=an2+bn(a、b∈R),且S25=100,则a12+a14等于( )
| A、16 | B、8 | C、4 | D、不确定 |