题目内容
已知椭圆
的一个焦点为
,过点
且垂直于长轴的直线被椭圆
截得的弦长为
;
为椭圆
上的四个点。
(Ⅰ)求椭圆
的方程;
(Ⅱ)若
,
且
,求四边形
的面积的最大值和最小值.
【答案】
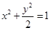
(Ⅰ)
;(Ⅱ) 2,![]()
【解析】
试题分析:(Ⅰ)依题意可得椭圆C的一个焦点为
知
,在代入点
即可得得到一个关于
的等式从而可求出
的值,即可得椭圆的标准方程.
(Ⅱ) 由于
,
所以直线
都过F点,从而又因为
所以直线
与直线
相互垂直.所以四边形
的面积为
.故关键是求出线段
的长度.首先要分类存在垂直于
轴的情况,和不垂直于
轴的情况两种.前者好求.后者通过假设一条直线联立椭圆方程写出弦长的式子,类似地写出另一条所得到的弦长.通过利用基本不等式即可求得面积的范围.从而再结合垂直于
轴的情况,求出最大值与最小值.
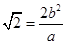
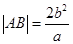
试题解析:(Ⅰ)由题椭圆C的一个焦点为
知
故可设椭圆方程为
,过焦点
且与长轴垂直的直线方程为
,设此直线与椭圆交于A,B两点则
,又
,所以
,又
,联立求得
,
,故椭圆方程为
.
(Ⅱ)由
,
知,点
共线,点
共线,
即直线
经过椭圆焦点
。又
知,![]()
(i)当
斜率为零或不存在时,![]()
(ii)当直线
存在且不为零时,可设斜率为
,则由
知,
的斜率为![]()
所以:直线
方程为:
。直线
方程为:![]()
将直线
方程
代入椭圆方程
,消去
并化简整理可得
,
设
坐标为
,则
,
…………①
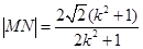
从而
,将①代入化简得
,
将
中
换成
可得
,
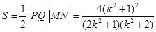
所以
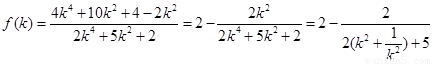
=
.
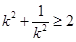
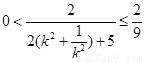
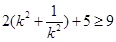
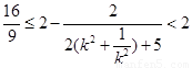
令
,因为
,所以
,故
,所以
,当且仅当
时,
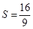
.综上(i)(ii)可知
,即四边形PQMN的最大面积为2,最小面积为
.
考点:1.待定系数法求椭圆得方程.2.分类归纳的思想.3.弦长公式.4.对角线垂直的四边形的面积.5.基本不等式的应用.
练习册系列答案
相关题目
已知椭圆的一个焦点为F,若椭圆上存在点P,满足以椭圆短轴为直径的圆与线段PF相切于线段PF的中点,则该椭圆的离心率为( )
A、
| ||||
B、
| ||||
C、
| ||||
D、
|