题目内容
已知数列
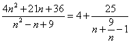
满足
,数列
满足
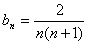
,
(n∈N* ),数列
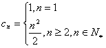
满足
。
(1)求数列
、
的通项公式;
(2)求数列
的通项公式;
(3)是否存在正整数k,使得
对一切
恒成立,若存在求k的最小值;若不存在请说明理由。
(1)求数列
(2)求数列
(3)是否存在正整数k,使得
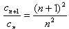
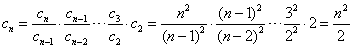
解:(1)
,
∴当
时,


,
∴
,
又
,
∴
,
∴当
时,
,
∴
,
。
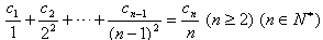
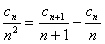
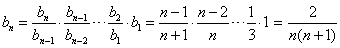
(2)∵
,
∴
,
两式相减,得
,
∴
,
又
,
∴
,
∴当
时,
,
∴
。
(3)当n=1时,
,
∴
且
,即
且
,
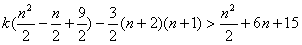
当
时,
,
即
,
化简,得
,
恒成立,
∴
,
事实上,
,
又
(n=3时,取等号),
∴
,
∴
且
,
综上,
,
所以,k的最小值为10。
∴当
∴
又
∴
∴当
∴
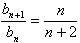
(2)∵
∴
两式相减,得
∴
又
∴
∴当
∴
(3)当n=1时,
∴
当
即
化简,得
∴
事实上,
又
∴
∴
综上,
所以,k的最小值为10。
练习册系列答案
相关题目