题目内容
如图,已知抛物线C:y2=2px和⊙M:(x-4)2+y2=1,过抛物线C上一点H(x,y)作两条直线与⊙M相切于A、B两点,分别交抛物线为E、F两点,圆心点M到抛物线准线的距离为(1)求抛物线C的方程;
(2)当∠AHB的角平分线垂直x轴时,求直线EF的斜率.
【答案】分析:(1)利用点M(4,0)到抛物线准线的距离为
,即可得出p.
(2)当∠AHB的角平分线垂直x轴时,点H(4,2),可得kHE=-kHF,
设E(x1,y1),F(x2,y2),利用抛物线的方程和斜率计算公式即可得出.
解答:解:(1)∵点M(4,0)到抛物线准线的距离为
,
∴p=
,即抛物线C的方程为y2=x.
(2)∵当∠AHB的角平分线垂直x轴时,点H(4,2),∴kHE=-kHF,
设E(x1,y1),F(x2,y2),
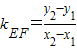
∴
,
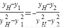
∴
,
∴y1+y2=-2yH=-4.
=
=
.
点评:熟练掌握抛物线的标准方程及其性质、圆的切线的性质、斜率计算公式等是解题的关键.
(2)当∠AHB的角平分线垂直x轴时,点H(4,2),可得kHE=-kHF,
设E(x1,y1),F(x2,y2),利用抛物线的方程和斜率计算公式即可得出.
解答:解:(1)∵点M(4,0)到抛物线准线的距离为
∴p=
(2)∵当∠AHB的角平分线垂直x轴时,点H(4,2),∴kHE=-kHF,
设E(x1,y1),F(x2,y2),
∴
∴
∴y1+y2=-2yH=-4.
点评:熟练掌握抛物线的标准方程及其性质、圆的切线的性质、斜率计算公式等是解题的关键.
练习册系列答案
相关题目