搜索
题目内容
已知函数
,
(Ⅰ)当m=0时,求f(x)在区间
上的取值范围;
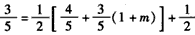
(Ⅱ)当tanα=2时,f(α)=
,求m的值.
试题答案
相关练习册答案
解:(Ⅰ)当m=0时,
,
又由
,得
,
所以
,
从而
;
(Ⅱ)
,
由tanα=2,得
,
,
所以
,得m=-2。
练习册系列答案
快乐过暑假系列答案
同步练习册全优达标测试卷系列答案
英才教程探究习案课时精练系列答案
小学学习好帮手系列答案
初中语文阅读轻松组合周周练系列答案
小学同步三练核心密卷系列答案
剑桥小学英语系列答案
作业本江西教育出版社系列答案
新起点百分百单元测试卷系列答案
状元口算计算系列答案
相关题目
(本小题满分12
高☆考♂资♀源*
网
分)
已知函数
。
(1) 当m=0时,求
在区间
上的取值范围;
(2) 当
时,
,求m的值。
已知函数
(Ⅰ)当m>0时,求函数的单调区间;
(Ⅱ)当m≥1时,曲线C:y=f(x)在点P(0,1)处的切线l与C有且只有一个公共点,求m的取值的集合M.
已知函数
(Ⅰ)当m>0时,求函数的单调区间;
(Ⅱ)当m≥1时,曲线C:y=f(x)在点P(0,1)处的切线l与C有且只有一个公共点,求m的取值的集合M.
已知函数
(Ⅰ)当m>0时,求函数的单调区间;
(Ⅱ)当m≥1时,曲线C:y=f(x)在点P(0,1)处的切线l与C有且只有一个公共点,求m的取值的集合M.
已知函数
。
(1) 当m=0时,求
在区间
上的取值范围; (2) 当
时,
,求m的值。
关 闭
试题分类
高中
数学
英语
物理
化学
生物
地理
初中
数学
英语
物理
化学
生物
地理
小学
数学
英语
其他
阅读理解答案
已回答习题
未回答习题
题目汇总
试卷汇总
练习册解析答案