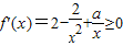
题目内容
已知函数(1)若函数f(x)在[1,+∞)上单调递增,求实数a的取值范围.
(2)记函数g(x)=x2[f′(x)+2x-2],若g(x)的最小值是-6,求函数f(x)的解析式.
【答案】分析:(1)由
,知
在[1,+∞)上恒成立,构造函数
,利用导数性质,能求出实数a的取值范围.
(2)由g(x)=2x3+ax-2,x>0,知g′(x)=6x2+a,由a≥0时,g′(x)≥0恒成立知a<0,由此能求出函数f(x)的解析式.
解答:(本小题满分14分)
解:(1)
,
∴
在[1,+∞)上恒成立…(2分)
令
∵
恒成立,
∴h(x)在[1,+∞)单调递减…(4分)
h(x)max=h(1)=0…(6分)
∴a≥0,
故实数a的取值范围为[0,+∞).…(7分)
(2)g(x)=2x3+ax-2,x>0
∵g′(x)=6x2+a…(9分)
当a≥0时,g′(x)≥0恒成立,
∴g(x)在(0,+∞)单调递增,无最小值,不合题意,
∴a<0.…(11分)
令g′(x)=0,则
(舍负)
∵0<x<
时,g′(x)<0;x>
时,g′(x)>0,
∴g(x)在
上单调递减,在
上单调递增,
则
是函数的极小值点.
.…(13分)
解得a=-6,
故
.…(14分)
点评:本题考查函数是增函数时实数的取值范围的求法,考查函数的解析式的求法,解题时要认真审题,仔细解答,注意导数性质的合理运用.
(2)由g(x)=2x3+ax-2,x>0,知g′(x)=6x2+a,由a≥0时,g′(x)≥0恒成立知a<0,由此能求出函数f(x)的解析式.
解答:(本小题满分14分)
解:(1)
∴
令
∵
∴h(x)在[1,+∞)单调递减…(4分)
h(x)max=h(1)=0…(6分)
∴a≥0,
故实数a的取值范围为[0,+∞).…(7分)
(2)g(x)=2x3+ax-2,x>0
∵g′(x)=6x2+a…(9分)
当a≥0时,g′(x)≥0恒成立,
∴g(x)在(0,+∞)单调递增,无最小值,不合题意,
∴a<0.…(11分)
令g′(x)=0,则
∵0<x<
∴g(x)在
则
解得a=-6,
故
点评:本题考查函数是增函数时实数的取值范围的求法,考查函数的解析式的求法,解题时要认真审题,仔细解答,注意导数性质的合理运用.
练习册系列答案
相关题目