题目内容
已知递增的等差数列与等比数列,满足:
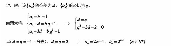
(1)求数列的通项公式;
(2)求数的前项和.
(2)
(本小题满分16分)已知在直角坐标系中,,其中数列都是递增数列。(1)若,判断直线与是否平行;(2)若数列都是正项等差数列,设四边形的面积为.求证:也是等差数列;(3)若,,记直线的斜率为,数列前8项依次递减,求满足条件的数列的个数。
已知函数.
(Ⅰ)求函数的单调递增区间;
(Ⅱ)当时,在曲线上是否存在两点,使得曲线在两点处的切线均与直线交于同一点?若存在,求出交点纵坐标的取值范围;若不存在,请说明理由;
(Ⅲ)若在区间存在最大值,试构造一个函数,使得同时满足以下三个条件:①定义域,且;②当时,;③在中使取得最大值时的值,从小到大组成等差数列.(只要写出函数即可)