题目内容
用循环结构框图描述求1×2×3×4×5的值的算法.
思路点拨:这是一个累乘问题,重复进行了4次乘法,可以用循环结构,需引入累乘变量mul和记数变量i,这里mul和i每一次循环,它们的值都在改变,用框图描述如下:
解:
![]()
练习册系列答案
相关题目
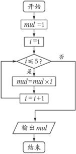
题目内容
用循环结构框图描述求1×2×3×4×5的值的算法.
思路点拨:这是一个累乘问题,重复进行了4次乘法,可以用循环结构,需引入累乘变量mul和记数变量i,这里mul和i每一次循环,它们的值都在改变,用框图描述如下:
解:
![]()