题目内容

函数的定义域是( )
A.(0,2)
B.(1,2)
C.(-∞,0)∪(1,+∞)
D.(-∞,0)∪(2,+∞)
【答案】分析:利用对数函数类型、分式函数类型和根式函数类型的函数定义域的求法是解题的关键.
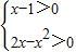
解答:解:∵,解得1<x<2,
∴函数的定义域是{x|1<x<2}.
故选B.
点评:熟练掌握不同类型函数的定义域的求法是解题的关键.
练习册系列答案
相关题目

违法和不良信息举报电话:027-86699610 举报邮箱:58377363@163.com

精英家教网