题目内容

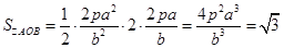
已知双曲线的两条渐近线与抛物线的准线分别交于两点,为坐标原点.若双曲线的离心率为2,的面积为,则_________.

 

【答案】

 

【解析】

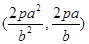
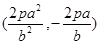
试题分析:由渐进线联立可得交点A.B.所以.…①又因为所以.…②.所以由①②可得.本小题的关键是解出A,B两点的坐标即可.

考点:1.渐近线的方程.2.二元二次方程组的解法.3.双曲线的离心率.

 

练习册系列答案
相关题目

违法和不良信息举报电话:027-86699610 举报邮箱:58377363@163.com

精英家教网