题目内容
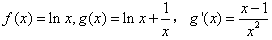
设函数f(x)定义在(0,+∞)上,f(1)=0,导函数f(x)=
,g(x)=f(x)+f′(x),求g(x)的单调区间和最小值。
解:由题设易知
,
令g′(x)=0,得x=1,
当x∈(0,1)时,g′(x)<0,故(0,1)是g(x)的单调减区间;
当x∈(1,+∞)时,g′(x)>0 ,故(1,+∞)是g(x)的单调增区间,
因此,x=1是g(x)的唯一极值点,且为极小值点,从而是最小值点,
所以最小值为g(1)=1。
令g′(x)=0,得x=1,
当x∈(0,1)时,g′(x)<0,故(0,1)是g(x)的单调减区间;
当x∈(1,+∞)时,g′(x)>0 ,故(1,+∞)是g(x)的单调增区间,
因此,x=1是g(x)的唯一极值点,且为极小值点,从而是最小值点,
所以最小值为g(1)=1。
练习册系列答案
相关题目