题目内容
已知函数
,h(x)=2alnx,
.
(1)当a∈R时,讨论函数
的单调性;
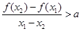
(2)是否存在实数a,对任意的
,且
,都有![]()
恒成立,若存在,求出a的取值范围;若不存在,说明理由.
【答案】
(1)详见解析;(2)不存在.
【解析】
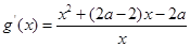
试题分析:(1)讨论函数的单调性,在定义域内研究其导函数的符号即可.先求导函数![]()
,因为定义域为
,故只需讨论分子符号,可结合二次函数的图象判断,此时①需讨论交点
的大小,②注意根与定义域比较,所以
需和-2和0比较大小;(2)由对称性,不妨设
,去分母得
,构造函数
,则其在定义域内单调递减,故
在
恒成立,而
,分子二次函数开口向上,不可能永远小于0,故不存在.
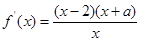
试题解析:(1)
,∴
,
的定义域为
.
①当
时,
在
上是减函数,在在
上是增函数;
②当
时,
在
上是增函数;在
是是减函数;在
上是增函数;
③当
时,
在
上是增函数;
④当
时,
在
上是增函数;在
上是减函数;在
上是增函数.
(2)假设存在实数
,对任意的
,且
,都有
恒成立,不妨设
,要使
,即
.
令
,只要
在
为减函数.
又
,由题意
在
上恒成立,得
不存在.
考点:1、导数在单调性上的应用;2、二次函数的图象;3、函数思想的应用.
练习册系列答案
相关题目
已知函数y=f(x)在点f(x)处可导,则
=( )
| lim |
| h→0 |
| f(x0+3h)-f(x0-2h) |
| h |
| A、f'(x0) | ||
| B、3f'(x0) | ||
C、
| ||
| D、5f'(x0) |