题目内容
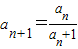
已知
【答案】分析:由已知变形可得
=1,由等差数列的定义可知{
}为等差数列,可得其通项公式,进而可得答案.
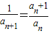
解答:解:∵
,∴
=
,
故可得
=1,故数列{
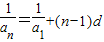
}为等差数列,
且公差为d=1,首项为
=1,
故
=n,故an=
故答案为:
点评:本题考查数列通项公式的求解,涉及等差数列的通项公式,属基础题.
解答:解:∵
故可得
且公差为d=1,首项为
故
故答案为:
点评:本题考查数列通项公式的求解,涉及等差数列的通项公式,属基础题.
练习册系列答案
相关题目