题目内容
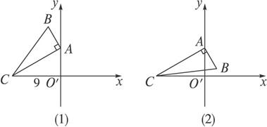
已知Rt△ABC的直角顶点A在直线ρcosθ=9上移动(C为原点),又∠ACB=
解:如图(1),设B(ρ,θ),A(ρ1,θ1).
则ρcos
=ρ1,即ρ1=
ρ.而θ1=θ-
.
又∵ρ1cosθ1=9,∴
ρcos(θ-
)=9,即ρcos(θ-
)=
.
![]()
若点B的位置如图(2)所示,同理,得点B的轨迹方程为ρcos(θ+
)=
.
综上所述,点B的轨迹方程为ρcos(θ±
)=
.
练习册系列答案
相关题目
题目内容
已知Rt△ABC的直角顶点A在直线ρcosθ=9上移动(C为原点),又∠ACB=
解:如图(1),设B(ρ,θ),A(ρ1,θ1).
则ρcos
=ρ1,即ρ1=
ρ.而θ1=θ-
.
又∵ρ1cosθ1=9,∴
ρcos(θ-
)=9,即ρcos(θ-
)=
.
![]()
若点B的位置如图(2)所示,同理,得点B的轨迹方程为ρcos(θ+
)=
.
综上所述,点B的轨迹方程为ρcos(θ±
)=
.