题目内容
在△ABC中,sin(C-A)=1,sinB=
,
(Ⅰ)求sinA的值;
(Ⅱ)设AC=
,求△ABC的面积。
(Ⅰ)求sinA的值;
(Ⅱ)设AC=
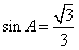
| 解:(Ⅰ)由 ∴ ∴ ∴ 又sinA>0, ∴ |
|
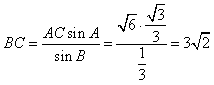
| (Ⅱ)如图,由正弦定理得 ∴ 又 ∴ |
练习册系列答案
相关题目
在△ABC中,“sin(A-B)cosB+cos(A-B)sinB≥1”是“△ABC是直角三角形”的( )
| A、充分不必要条件 | B、必要不充分条件 | C、充分必要条件 | D、既不充分也不必要条件 |