题目内容
设函数f(x)=2x-cosx,{an}是公差为
【答案】分析:由f(x)=2x-cosx,又{an}是公差为
的等差数列,可求得f(a1)+f(a2)+…+f(a5)=10a3,由题意可求得a3,从而进行求解.
解答:解:∵f(x)=2x-cosx,
∴f(a1)+f(a2)+…+f(a5)=2(a1+a2+…+a5)-(cosa1+cosa2+…+cosa5),
∵{an}是公差为
的等差数列,
∴a1+a2+…+a5=5a3,由和差化积公式可得,
cosa1+cosa2+…+cosa5
=(cosa1+cosa5)+(cosa2+cosa4)+cosa3
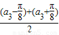
=[cos(a3-
×2)+cos(a3+
×2)]+[cos(a3-
)+cos(a3+
)]+cosa3
=2cos
cos
+2cos
cos
+cosa3
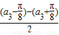
=2cosa3•
+2cosa3•cos(-
)+cosa3
=cosa3(1+
+
)
则cosa1+cosa2+…+cosa5的结果不含π,
又∵f(a1)+f(a2)+…+f(a5)=5π,
∴cosa3=0,故a3=
,
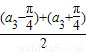
∴
=π2-(
-2•
)
=π2-
=
,
故答案为:
点评:本题考查数列与三角函数的综合,求得cosa3=0,继而求得a3是关键,也是难点,考查分析,推理与计算能力,属于难题.
解答:解:∵f(x)=2x-cosx,
∴f(a1)+f(a2)+…+f(a5)=2(a1+a2+…+a5)-(cosa1+cosa2+…+cosa5),
∵{an}是公差为
∴a1+a2+…+a5=5a3,由和差化积公式可得,
cosa1+cosa2+…+cosa5
=(cosa1+cosa5)+(cosa2+cosa4)+cosa3
=[cos(a3-
=2cos
=2cosa3•
=cosa3(1+
则cosa1+cosa2+…+cosa5的结果不含π,
又∵f(a1)+f(a2)+…+f(a5)=5π,
∴cosa3=0,故a3=
∴
故答案为:
点评:本题考查数列与三角函数的综合,求得cosa3=0,继而求得a3是关键,也是难点,考查分析,推理与计算能力,属于难题.
练习册系列答案
相关题目