题目内容
已知函数f(x)=ln(x-1)-k(x-1)+1。
(1)求函数f(x)的单调区间;
(2)若f(x)≤0恒成立,试确定实数k的取值范围;
(3)证明:
(n∈N*,且n>1)。
(1)求函数f(x)的单调区间;
(2)若f(x)≤0恒成立,试确定实数k的取值范围;
(3)证明:
解:(1)∵x>1,
,
1o当k≤0时,f′(x)>0,f(x)在(1,+∞)递增;
2o当k>0时,f(x)在
递减;
(2)当k≤0时,
>0(x>1),
∴
不可能恒成立。
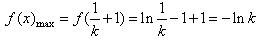
当k>0,由(1)可知
。
由
,
∴f(x)≤0恒成立时,k≥1。
(3)构造函数
(x>1),
<0,
∴F(x)在(1,+∞)递减,
∴F(x)<F(1),即
,
∴
;
当n>1,n∈N*时,
,
∴
。
1o当k≤0时,f′(x)>0,f(x)在(1,+∞)递增;
2o当k>0时,f(x)在
(2)当k≤0时,
∴
当k>0,由(1)可知
由
∴f(x)≤0恒成立时,k≥1。
(3)构造函数
∴F(x)在(1,+∞)递减,
∴F(x)<F(1),即
∴
当n>1,n∈N*时,
∴
练习册系列答案
相关题目