题目内容
已知函数f(x)=2sin2(
+x)-
cos2x,
(1)求函数f(x)的最小正周期;
(2)求函数f(x)的单调递减区间。
(1)求函数f(x)的最小正周期;
(2)求函数f(x)的单调递减区间。
解:(Ⅰ)
,
∴函数f(x)的最小正周期T=π;
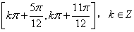
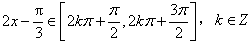
(Ⅱ)
,
,
∴函数f(x)的单调递减区间是
。
∴函数f(x)的最小正周期T=π;
(Ⅱ)
∴函数f(x)的单调递减区间是
练习册系列答案
相关题目
题目内容